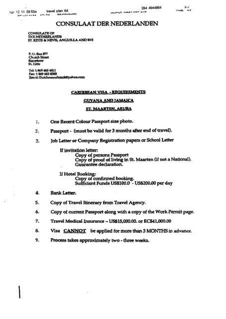
Dutch Consulate issues – Caribbean VISA Requirements for Guyana and Jamaica

Minster of Justice the Honorable Roland Duncan hereby confirms that as of Monday April 11, 2011, anyone travelling to Sint Maarten of Guyanese and Jamaican nationality will now require a VISA for entry into the country Sint Maarten. This new regulation is based on a decision taken earlier this year by the Minister of Justice, with the support of the Council of Ministers. The Consulate of the Netherlands has also issued communiqués to various stakeholders informing them of this new development. 

online casino

VISA’s should be requested in the country of residence and a formal written request must be submitted by the Inviter for approval at the Immigration Department (please see attachment for details).

Therefore, it is of utmost importance that all persons traveling to Sint Maarten who are of Guyanese and Jamaican nationality, be aware and informed that all border controls are in place to ensure that this new policy is enforced.